the farsiisings of ca till cf were published on 14 april 2016 23:00 pm amsterdam time but written a
week earlier
week earlier
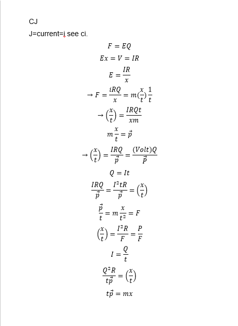
The cj farsiisings were done by Phd Alborz Seddigh Afshar on 1:24 AM 3 may 2016
may21 2016 16:08 pm amsterdam time by phd alborz seddigh afshar as a gift schenking to the aids fonds stichting.





















